Class 12 chemistry PYQ solution chapter

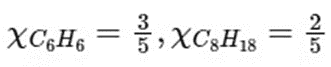
 Q5: The correct option for the value of vapour pressure of a solution at 45°C with benzene to octane in a molar ratio 3 : 2 is: [At 45°C vapour pressure of benzene is 280 mm Hg and that of octane is 420 mm Hg. Assume Ideal gas]     (NEET 2021)

(a) 336 mm of Hg
(b) 350 mm of Hg
(c) 160 mm of Hg
(d) 168 mm of Hg

Ans: (a)

Explanation video in tamil language

Given,

So, 

Total vapour pressure of solution,






No comments:

Post a Comment